千葉県オープンデータサイト
千葉県オープンデータサイト
このサイトについて
dataeyeについて
オープンデータとは
データカタログ
データから見えるもの
アイデアボックス
HOME
データカタログ
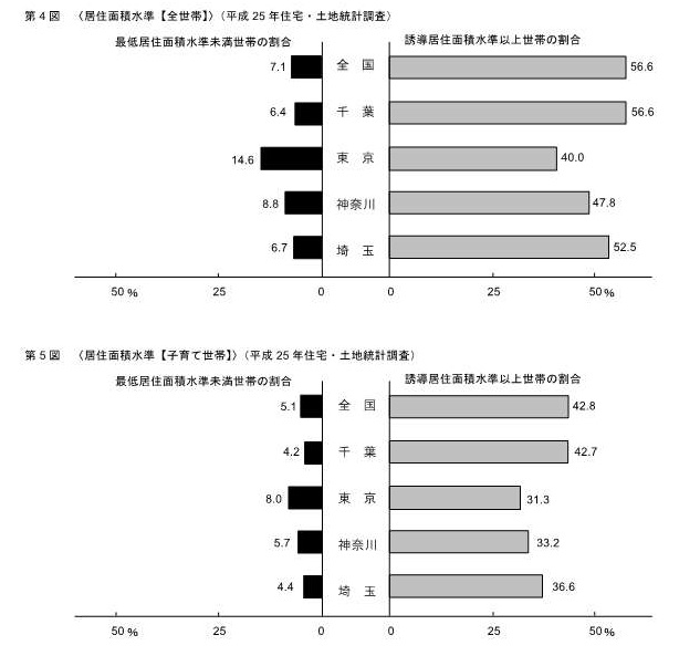
【千葉県】千葉県の住宅2018
【千葉県】I住宅事情(図3)
データカタログ
DATA
CATALOG
データセット名
【千葉県】千葉県の住宅2018
リソース名
【千葉県】I住宅事情(図3)
ファイル名
05zyuutakuzizyou-0318.jpg
ダウンロード
戻る
このリソースの情報
フィールド
値
ファイルサイズ
66477
(単位:バイト)
言語
ja(日本語)
ライセンス
PDL1.0(公共データ利用規約第1.0版)